Упр.289 ГДЗ Макарычев Миндюк 8 класс (Алгебра)
Решение #1
Решение #2

Рассмотрим вариант решения задания из учебника Макарычев, Миндюк, Нешков 8 класс, Просвещение:
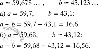
289 Найдите приближённое значение выражения а-b, где а = 59,678... и 5 = 43,123..., округлив предварительно а и 5:
а) до десятых; б) до сотых.
*размещая тексты в комментариях ниже, вы автоматически соглашаетесь с пользовательским соглашением