Упр.283 ГДЗ Макарычев Миндюк 8 класс (Алгебра)
Решение #1
Решение #2

Рассмотрим вариант решения задания из учебника Макарычев, Миндюк, Нешков 8 класс, Просвещение:
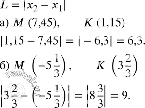
283. Найдите расстояние между точками М и К координатной прямой, если:
а) М (7,45) и К (1,15);
б) M(-5*1/3) и K(3*2/3).
*размещая тексты в комментариях ниже, вы автоматически соглашаетесь с пользовательским соглашением