Упр.134 ГДЗ Макарычев Миндюк 8 класс (Алгебра)
Решение #1
Решение #2

Рассмотрим вариант решения задания из учебника Макарычев, Миндюк, Нешков 8 класс, Просвещение:
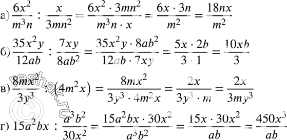
134. Выполните деление:
а) 6x2/m3n: x/3mn2;
б) 35x2y/12ab:7xy/8ab2;
в) 8mx2/3y3: (4m2x);
г) 15a2bx:a3b2/30x2.
*размещая тексты в комментариях ниже, вы автоматически соглашаетесь с пользовательским соглашением