Упр.131 ГДЗ Макарычев Миндюк 8 класс (Алгебра)
Решение #1
Решение #2
Решение #3

Рассмотрим вариант решения задания из учебника Макарычев, Миндюк, Нешков 8 класс, Просвещение:
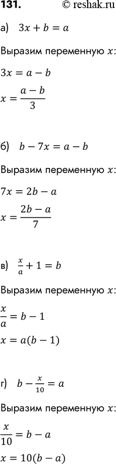
131. Выразите х через а и b:
а) 3х + b = а;
б) b - 7х = а - b;
в) x/a + 1 = b;
г) b-x/10 = а.
*размещая тексты в комментариях ниже, вы автоматически соглашаетесь с пользовательским соглашением