Упр.119 ГДЗ Макарычев Миндюк 8 класс (Алгебра)
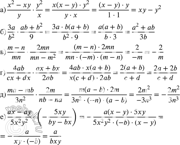
Решение #1
Решение #2

Рассмотрим вариант решения задания из учебника Макарычев, Миндюк, Нешков 8 класс, Просвещение:
119. Выполните умножение:
*размещая тексты в комментариях ниже, вы автоматически соглашаетесь с пользовательским соглашением