Упр.117 ГДЗ Макарычев Миндюк 8 класс (Алгебра)
Решение #1
Решение #2
Решение #3

Рассмотрим вариант решения задания из учебника Макарычев, Миндюк, Нешков 8 класс, Просвещение:
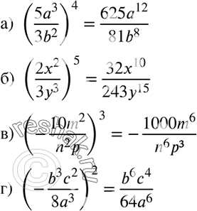
117 Представьте в виде дроби:
а) (5a3/3b2)4;
б) (2x2/3y3)5;
в) (-10m2/n2p)3;
г) (-b3c2/8a3)2.
*размещая тексты в комментариях ниже, вы автоматически соглашаетесь с пользовательским соглашением