Упр.3.1 ГДЗ Мордкович 10-11 класс (Алгебра)

Решение #1

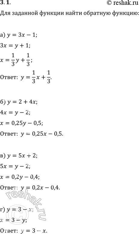
Изображение 3.1 Для заданной функции найдите обратную функцию:а) у = Зх - 1; б) y = 2 + 4х; в) у = 5х + 2;г) у = 3 -...

Решение #2

Изображение 3.1 Для заданной функции найдите обратную функцию:а) у = Зх - 1; б) y = 2 + 4х; в) у = 5х + 2;г) у = 3 -...
Загрузка...

Рассмотрим вариант решения задания из учебника Мордкович, Семенов 10 класс, Мнемозина:
3.1 Для заданной функции найдите обратную функцию:
а) у = Зх - 1;
б) y = 2 + 4х;
в) у = 5х + 2;
г) у = 3 - х.
*Цитирирование задания со ссылкой на учебник производится исключительно в учебных целях для лучшего понимания разбора решения задания.
*размещая тексты в комментариях ниже, вы автоматически соглашаетесь с пользовательским соглашением