Упр.870 ГДЗ Макарычев Миндюк 8 класс (Алгебра)
Решение #1
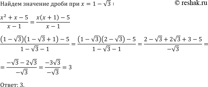
Решение #2
Решение #3
Рассмотрим вариант решения задания из учебника Макарычев, Миндюк, Нешков 8 класс, Просвещение:
870. Найдите значение дроби (x2+x-5)/(x-1) при x=1- корень 3.
Отправить другу:
*размещая тексты в комментариях ниже, вы автоматически соглашаетесь с пользовательским соглашением
