Упр.760 ГДЗ Макарычев Миндюк 8 класс (Алгебра)
Решение #1
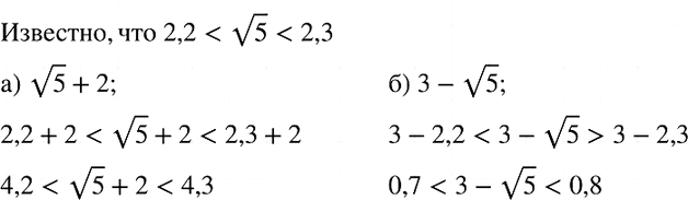
Решение #2

Рассмотрим вариант решения задания из учебника Макарычев, Миндюк, Нешков 8 класс, Просвещение:
760. Пользуясь тем, что 2,2 < корень 5 < 2,3, оцените значение выражения:
а) корень 5 + 2; б) 3- корень 5.
*размещая тексты в комментариях ниже, вы автоматически соглашаетесь с пользовательским соглашением