Упр.687 ГДЗ Макарычев Миндюк 8 класс (Алгебра)
Решение #1
Решение #2
Решение #3

Рассмотрим вариант решения задания из учебника Макарычев, Миндюк, Нешков 8 класс, Просвещение:
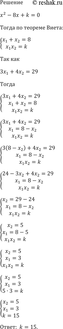
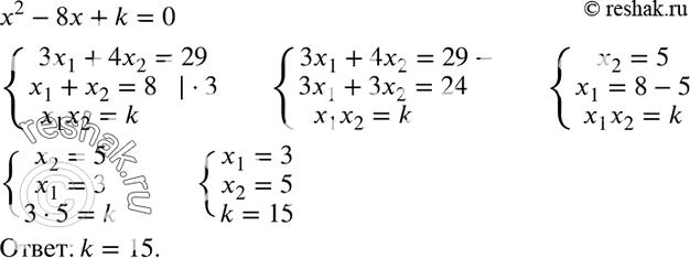
687. Известно, что х1 и х2 — корни уравнения х2 - 8х + к = 0, причём 3x1 + 4x2 = 29. Найдите k.
*размещая тексты в комментариях ниже, вы автоматически соглашаетесь с пользовательским соглашением