Упр.660 ГДЗ Макарычев Миндюк 8 класс (Алгебра)
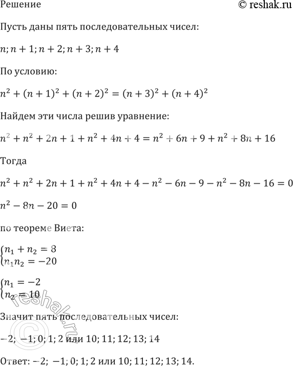
Решение #1
Решение #2
Решение #3

Рассмотрим вариант решения задания из учебника Макарычев, Миндюк, Нешков 8 класс, Просвещение:
660. Найдите пять последовательных целых чисел, если известно, что сумма квадратов трёх первых чисел равна сумме квадратов двух последних.
*размещая тексты в комментариях ниже, вы автоматически соглашаетесь с пользовательским соглашением