Упр.643 ГДЗ Макарычев Миндюк 8 класс (Алгебра)
Решение #1
Решение #2

Рассмотрим вариант решения задания из учебника Макарычев, Миндюк, Нешков 8 класс, Просвещение:
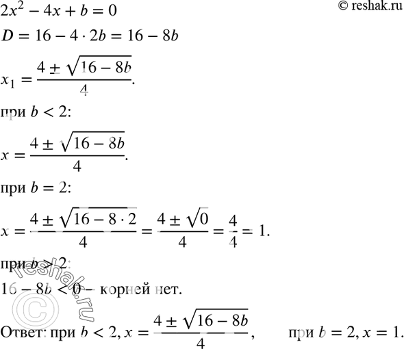
643. Решите уравнение с параметром b:
2х2 - 4x + b = 0.
*размещая тексты в комментариях ниже, вы автоматически соглашаетесь с пользовательским соглашением