Упр.50 ГДЗ Макарычев Миндюк 8 класс (Алгебра)
Решение #1
Решение #2

Рассмотрим вариант решения задания из учебника Макарычев, Миндюк, Нешков 8 класс, Просвещение:
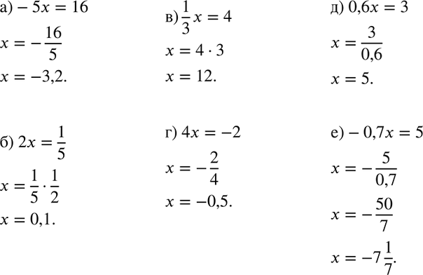
50. Решите уравнение:
а) -5x=16;
б) 2x=1/5;
в) 1/3*x=4;
г) 4x=-2;
д) 0,6x=3;
е) -0,7x=5.
*размещая тексты в комментариях ниже, вы автоматически соглашаетесь с пользовательским соглашением