Упр.428 ГДЗ Макарычев Миндюк 8 класс (Алгебра)
Решение #1
Решение #2

Рассмотрим вариант решения задания из учебника Макарычев, Миндюк, Нешков 8 класс, Просвещение:
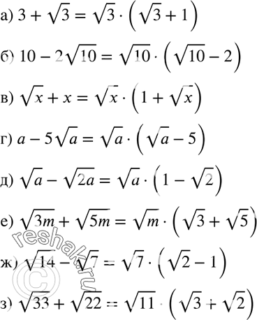
428. Разложите на множители выражение:
а) 3 + корень 3;
б) 10-2 корень 10;
в) корень х + х;
г) а - корень 2а;
д) корень а- корень 2а;
е) корень 3m + корень 5m;
ж) корень 14 - корень 7;
з) корень 33 + корень 22.
*размещая тексты в комментариях ниже, вы автоматически соглашаетесь с пользовательским соглашением