Упр.407 ГДЗ Макарычев Миндюк 8 класс (Алгебра)
Решение #1
Решение #2

Рассмотрим вариант решения задания из учебника Макарычев, Миндюк, Нешков 8 класс, Просвещение:
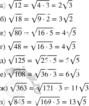
407. Вынесите множитель за знак корня:
а) корень 12;
б) корень 18;
в) корень 80;
г) корень 48;
д) корень 125;
е) корень 108;
ж) корень 363;
з) корень 845.
*размещая тексты в комментариях ниже, вы автоматически соглашаетесь с пользовательским соглашением