Упр.331 ГДЗ Макарычев Миндюк 8 класс (Алгебра)
Решение #1
Решение #2

Рассмотрим вариант решения задания из учебника Макарычев, Миндюк, Нешков 8 класс, Просвещение:
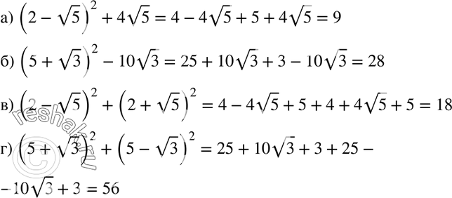
331. Вычислите:
а) (2 - корень 5)2 + 4 корень 5;
б) (5 + корень 3)2 - 10 корень 3;
в) (2 - корень 5)2 + (2 + корень 5)2;
г) (5 + корень 3)2 + (5 - корень 3)2.
*размещая тексты в комментариях ниже, вы автоматически соглашаетесь с пользовательским соглашением