Упр.205 ГДЗ Макарычев Миндюк 8 класс (Алгебра)
Решение #1
Решение #2
Решение #3

Рассмотрим вариант решения задания из учебника Макарычев, Миндюк, Нешков 8 класс, Просвещение:
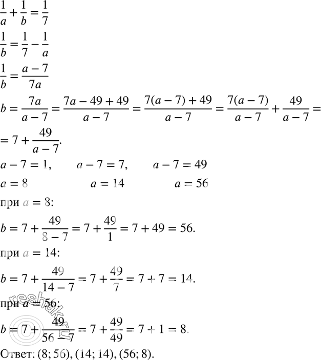
205. Найдите все пары натуральных чисел а и b, если известно, что сумма обратных им чисел равна 1/7.
*размещая тексты в комментариях ниже, вы автоматически соглашаетесь с пользовательским соглашением