Упр.161 ГДЗ Макарычев Миндюк 8 класс (Алгебра)
Решение #1
Решение #2
Решение #3

Рассмотрим вариант решения задания из учебника Макарычев, Миндюк, Нешков 8 класс, Просвещение:
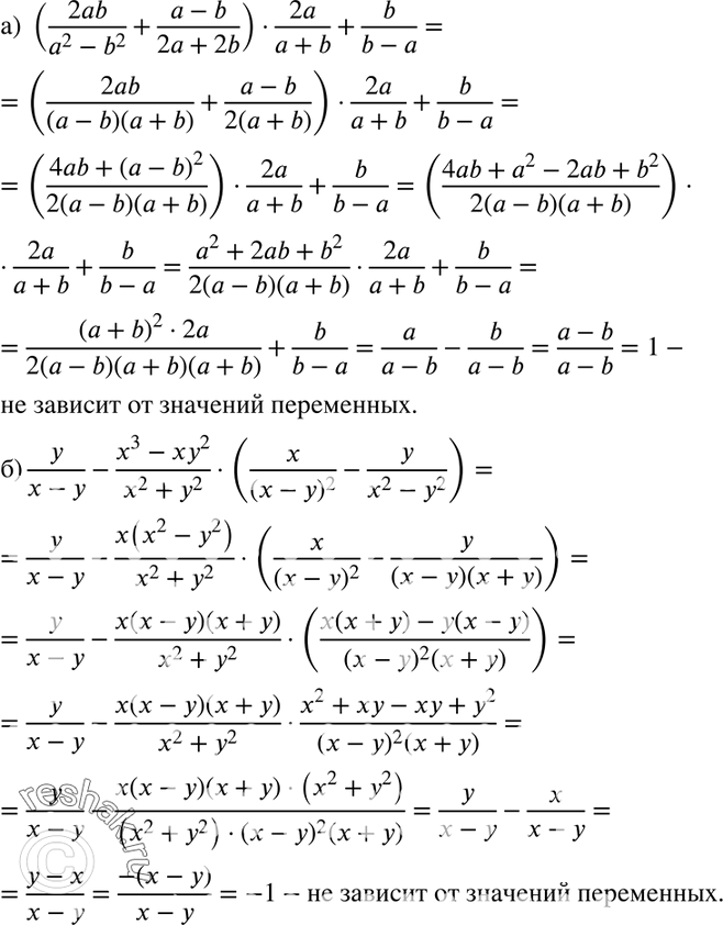
161 Докажите, что при всех допустимых значениях переменных значение выражения не зависит от значений входящих в него переменных:
*размещая тексты в комментариях ниже, вы автоматически соглашаетесь с пользовательским соглашением