Упр.14 ГДЗ Макарычев Миндюк 8 класс (Алгебра)
Решение #1
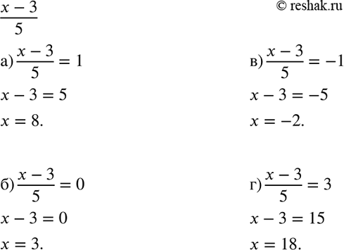
Решение #2

Рассмотрим вариант решения задания из учебника Макарычев, Миндюк, Нешков 8 класс, Просвещение:
14. При каком значении переменной значение дроби (x-3)/5 равно:
а) 1; б) 0; в) -1; г) 3?
*размещая тексты в комментариях ниже, вы автоматически соглашаетесь с пользовательским соглашением