Упр.110 ГДЗ Макарычев Миндюк 8 класс (Алгебра)
Решение #1
Решение #2

Рассмотрим вариант решения задания из учебника Макарычев, Миндюк, Нешков 8 класс, Просвещение:
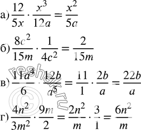
110. Выполните умножение:
а) 12/5x*x3/12a;
б) 8c2/15m*1/4c2;
в) 11a4/6*12b/a5;
г) 4n2/3m2*9m/2.
*размещая тексты в комментариях ниже, вы автоматически соглашаетесь с пользовательским соглашением