Упр.11.20 ГДЗ Мордковича 10 класс профильный уровень (Алгебра)
Решение #1
Решение #2(записки учителя)
Решение #3(записки школьника)

Рассмотрим вариант решения задания из учебника Мордкович, Семенов 10 класс, Мнемозина:
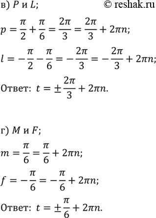
Числовая окружность разделена точками на 12 равных частей (рис. 47). Составьте формулу для всех чисел, которым соответствуют точки:
а) M и K; б) P и E; в) P и L; г) M и F.
*размещая тексты в комментариях ниже, вы автоматически соглашаетесь с пользовательским соглашением