Упр.892 ГДЗ Никольский Потапов 7 класс (Алгебра)
Решение #1

Рассмотрим вариант решения задания из учебника Никольский, Потапов 7 класс, Просвещение:
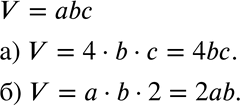
892. Запишите объём прямоугольного параллелепипеда, если длины его рёбер:
а) 4 см, b см, с см; б) а см, b см, 2 см.
*размещая тексты в комментариях ниже, вы автоматически соглашаетесь с пользовательским соглашением