Упр.86 ГДЗ Колягин Ткачёва 10 класс (Алгебра)
Решение #1
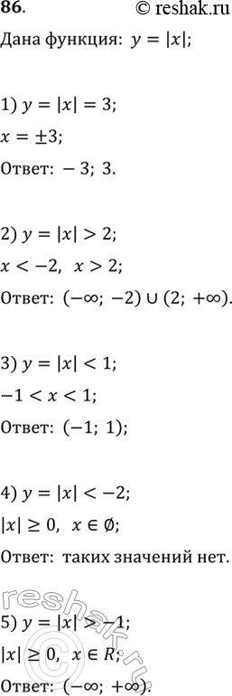
Решение #2

Рассмотрим вариант решения задания из учебника Колягин, Ткачёва, Фёдорова 10 класс, Просвещение:
Выяснить, при каких значениях х значения функции у = |х|: 1) равны 3; 2) больше 2; 3) меньше 1; 4) меньше -2; 5) больше -1.
*размещая тексты в комментариях ниже, вы автоматически соглашаетесь с пользовательским соглашением