Упр.853 ГДЗ Колягин Ткачёва 11 класс (Алгебра)
Решение #1
Решение #2

Рассмотрим вариант решения задания из учебника Колягин, Ткачёва, Фёдорова 11 класс, Просвещение:
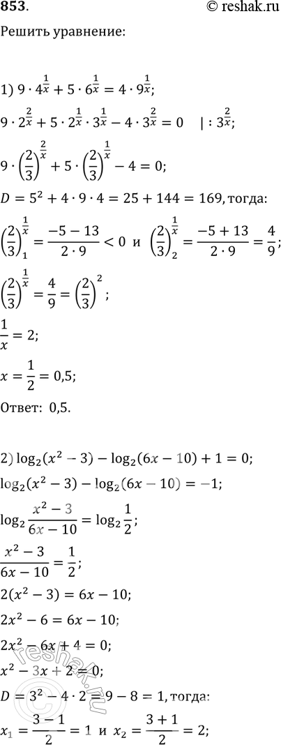
853 1) 9* 4^1/x + 5 * 6^1/x = 4* 9^1/x;
2) log2(x2-3) - log2(6x-10) + 1=0;
3) 2log2x - 2log2 1/корень 2 = 3 корень log2x;
4) logx(2x2-3x-4)=2.
*размещая тексты в комментариях ниже, вы автоматически соглашаетесь с пользовательским соглашением