Упр.852 ГДЗ Никольский Потапов 6 класс (Математика)
Решение #1

Рассмотрим вариант решения задания из учебника Никольский, Потапов, Решетников 6 класс, Просвещение:
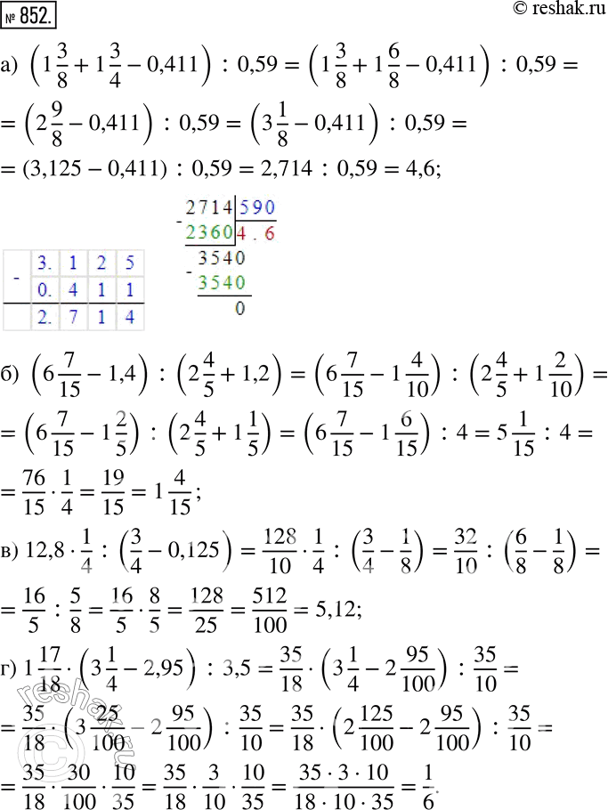
852. Вычислите:
а) (1 3/8+1 3/4-0,411) :0,59;
б) (6 7/15-1,4) :(2 4/5+1,2);
в) 12,8•1/4 :(3/4-0,125);
г) 1 17/18•(3 1/4-2,95) :3,5.
*размещая тексты в комментариях ниже, вы автоматически соглашаетесь с пользовательским соглашением