Упр.836 ГДЗ Никольский Потапов 8 класс (Алгебра)
Решение #1

Рассмотрим вариант решения задания из учебника Никольский, Потапов 8 класс, Просвещение:
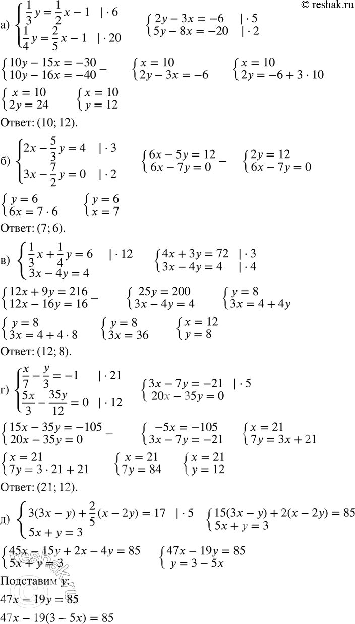
836 а) система
1/3*y = 1/2*x-1,
1/4*y=2/5*x-1;
б) система
2x-5/3*y=4,
3x-7/2*y=0;
в) система
1/3*x + 1/4*y=6,
3x-4y=4;
г) система
x/7-y/3=-1,
5x/3-35y/12=0;
д) система
3(3x-y)+2/5*(x-2y)=17,
5x+y=3;
е) система
2(2y-x) + 1/7*(y+3x)=1,
5y+x=7;
ж) система
з) система
и) система
к) система
*размещая тексты в комментариях ниже, вы автоматически соглашаетесь с пользовательским соглашением