Упр.804 ГДЗ Никольский Потапов 8 класс (Алгебра)
Решение #1

Рассмотрим вариант решения задания из учебника Никольский, Потапов 8 класс, Просвещение:
Решите уравнение (804—805):
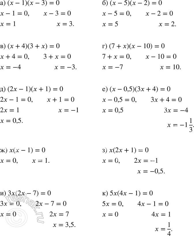
804. а) (х - 1)(x - 3) = 0;
б) (х - 5)(х - 2) = 0;
в) (х + 4)(3 + х) = 0;
г) (7 + х)(х - 10) = 0;
д) (2х - 1)(х + 1) = 0;
е) (х - 0,5)(3х + 4) = 0;
ж) х(х-1) =0;
з) х(2х+1) = 0;
и) 3х(2х-7) = 0;
к) 5х(4х-1) = 0.
*размещая тексты в комментариях ниже, вы автоматически соглашаетесь с пользовательским соглашением