Упр.785 ГДЗ Никольский Потапов 7 класс (Алгебра)
Решение #1

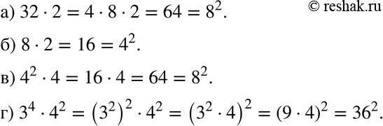
Рассмотрим вариант решения задания из учебника Никольский, Потапов 7 класс, Просвещение:
785 Запишите данное числовое выражение в виде квадрата некоторого числа:
а) 32 * 2;
б) 8 * 2;
в) 4^2 * 4;
г) З^4 * 4^2.
*размещая тексты в комментариях ниже, вы автоматически соглашаетесь с пользовательским соглашением