Упр.784 ГДЗ Никольский Потапов 7 класс (Алгебра)
Решение #1

Рассмотрим вариант решения задания из учебника Никольский, Потапов 7 класс, Просвещение:
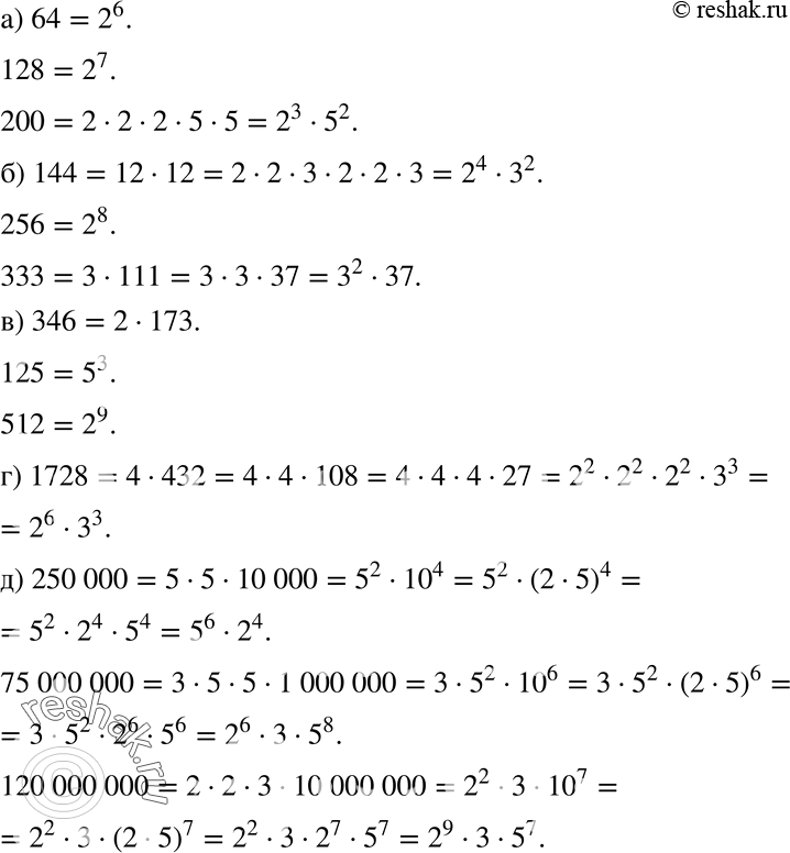
784 Данные числа запишите в виде степеней простых чисел или произведения степеней простых чисел:
а) 64, 128, 200;
б) 144, 256, 333;
в) 346, 125, 512;
г) 1728, 10 000, 4096;
д) 250 000, 75 000 000, 120 000 000.
*размещая тексты в комментариях ниже, вы автоматически соглашаетесь с пользовательским соглашением