Упр.718 ГДЗ Колягин Ткачёва 10 класс (Алгебра)
Решение #1
Решение #2

Рассмотрим вариант решения задания из учебника Колягин, Ткачёва, Фёдорова 10 класс, Просвещение:
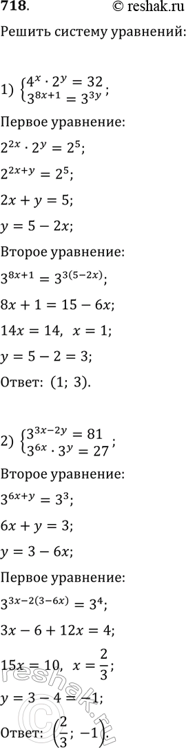
718.
1) 4^x*2^y=32
3^(8x+1)=3^3y
2) 3^(3x-2y)=81
3^6x*3y=27
*размещая тексты в комментариях ниже, вы автоматически соглашаетесь с пользовательским соглашением