Упр.693 ГДЗ Ткачёва 6 класс (Математика)
Решение #1

Рассмотрим вариант решения задания из учебника Ткачёва 6 класс, Просвещение:
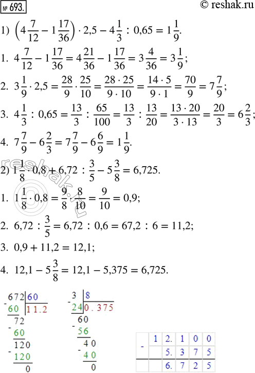
693. Вычислить:
1) (4 7/12 - 1 17/36) · 2,5 - 4 1/3 : 0,65;
2) 1 1/8 · 0,8 + 6,72 : 3/5 - 5 3/8.
*размещая тексты в комментариях ниже, вы автоматически соглашаетесь с пользовательским соглашением