Упр.686 ГДЗ Колягин Ткачёва 10 класс (Алгебра)
Решение #1
Решение #2

Рассмотрим вариант решения задания из учебника Колягин, Ткачёва, Фёдорова 10 класс, Просвещение:
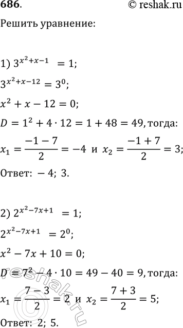
686.
1)3^(x^2+x-12)=1
2) 2^(x^2-7x+10)=1
3) 2^((x-1)/(x-2))=4
4) 0,5^1/x=4^(1/(x+1))
*размещая тексты в комментариях ниже, вы автоматически соглашаетесь с пользовательским соглашением