Упр.682 ГДЗ Никольский Потапов 8 класс (Алгебра)
Решение #1

Рассмотрим вариант решения задания из учебника Никольский, Потапов 8 класс, Просвещение:
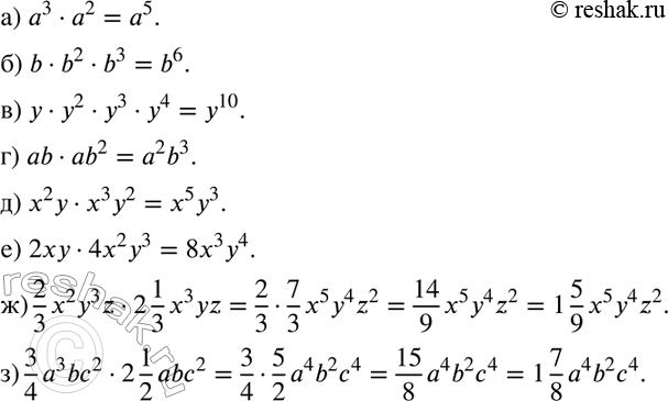
682. Упростите выражение:
а) a3*a2;
б) b*b2*b3;
в) y*y2*y3*y4;
г) ab*ab2;
д) x2y*x3y2;
е) 2xy*4x2y3;
ж) 2/3*x2y3z*2*1/3*x3yz;
з) 3/4*a3bc2 * 2*1/2*abc2.
е)
*размещая тексты в комментариях ниже, вы автоматически соглашаетесь с пользовательским соглашением