Упр.666 ГДЗ Колягин Ткачёва 11 класс (Алгебра)
Решение #1
Решение #2

Рассмотрим вариант решения задания из учебника Колягин, Ткачёва, Фёдорова 11 класс, Просвещение:
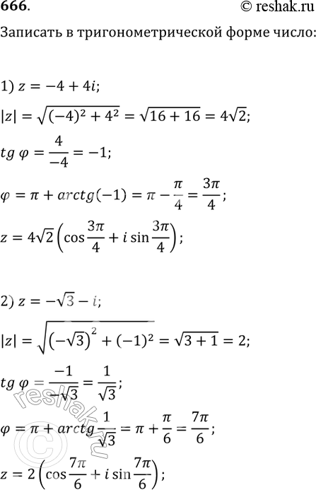
666. Записать в тригонометрической форме число:
1) -4 + 4i;
2) - корень 3 -i.
*размещая тексты в комментариях ниже, вы автоматически соглашаетесь с пользовательским соглашением