Упр.654 ГДЗ Колягин Ткачёва 11 класс (Алгебра)
Решение #1
Решение #2

Рассмотрим вариант решения задания из учебника Колягин, Ткачёва, Фёдорова 11 класс, Просвещение:
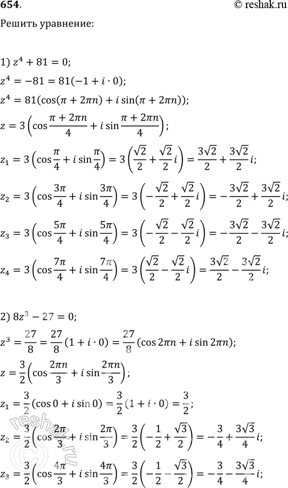
654. 1) z4 + 81 = 0;
2) 8z3 - 27 = 0;
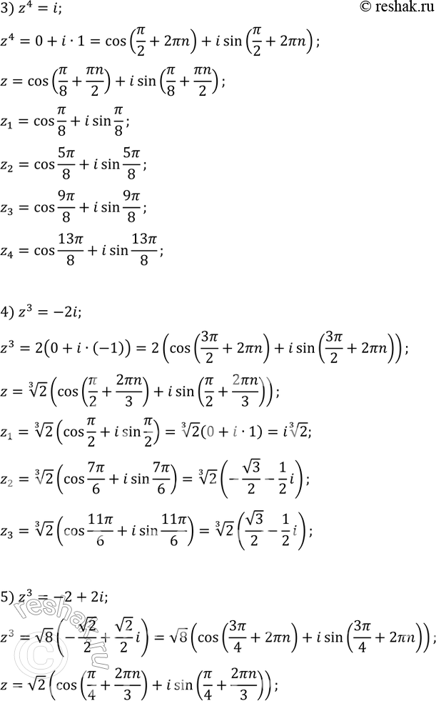
3) z4 = i;
4) z3 = -2i;
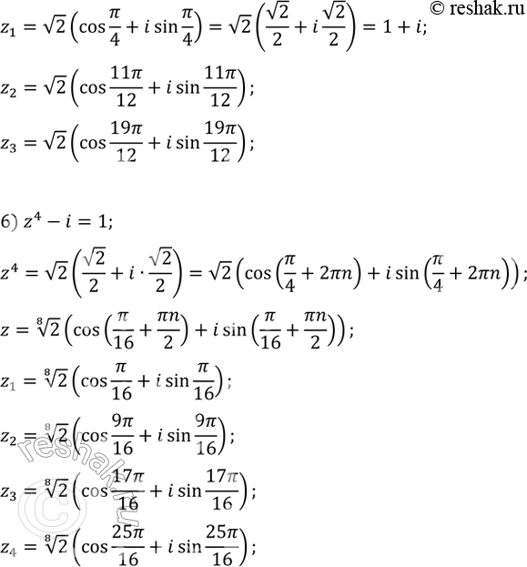
5) z8 = -2 + 2i;
6)z4-i=1.
*размещая тексты в комментариях ниже, вы автоматически соглашаетесь с пользовательским соглашением