Упр.645 ГДЗ Никольский Потапов 8 класс (Алгебра)
Решение #1

Рассмотрим вариант решения задания из учебника Никольский, Потапов 8 класс, Просвещение:
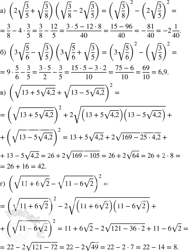
645 а) (2 корень 3/5 + корень 3/8)(корень 3/8 - 2 корень 3/5);
б) (3 корень 5/6 - корень 3/5)(3 корень 5/6 + корень 3/5);
в) (корень (13 + 5 корень 4,2) + корень (13 - 5 корень 4,2))2;
г) (корень (11 + 6 корень 2) - корень (11 - 6 корень 2))2;
*размещая тексты в комментариях ниже, вы автоматически соглашаетесь с пользовательским соглашением