Упр.642 ГДЗ Колягин Ткачёва 10 класс (Алгебра)
Решение #1
Решение #2

Рассмотрим вариант решения задания из учебника Колягин, Ткачёва, Фёдорова 10 класс, Просвещение:
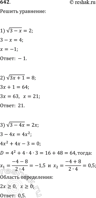
642. Решить уравнение:
1) v(3-x)=2
2) v(3x+1)=8
3) v(3-4x)=2x
4) v(5x-1+3x^2)=3x
5) корень третьей степени из (x^2-17)=2
6) корень етвертой степени из (x^2+17)=3
*размещая тексты в комментариях ниже, вы автоматически соглашаетесь с пользовательским соглашением