Упр.59 ГДЗ Никольский Потапов 6 класс (Математика)
Решение #1

Рассмотрим вариант решения задания из учебника Никольский, Потапов, Решетников 6 класс, Просвещение:
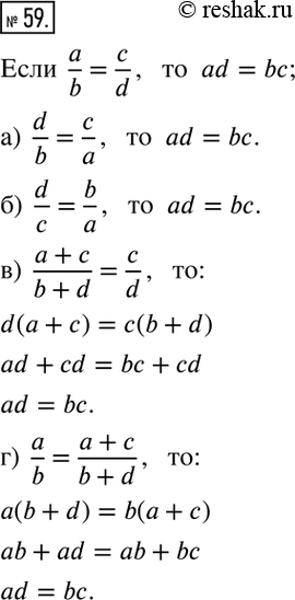
59. Докажите, что если a/b=c/d, то:
а) d/b=c/a;
б) d/c=b/a;
в) (a+c)/(b+d)=c/d;
г) a/b=(a+c)/(b+d).
*размещая тексты в комментариях ниже, вы автоматически соглашаетесь с пользовательским соглашением