Упр.581 ГДЗ Никольский Потапов 6 класс (Математика)
Решение #1

Рассмотрим вариант решения задания из учебника Никольский, Потапов, Решетников 6 класс, Просвещение:
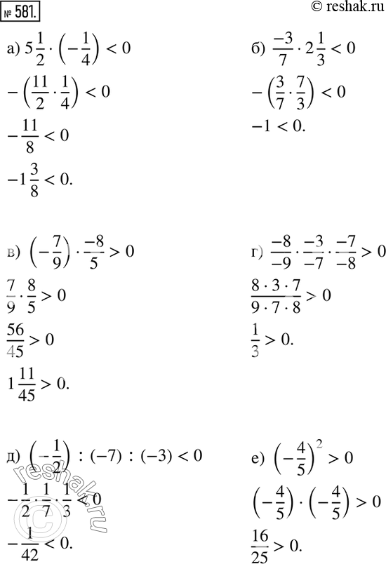
581. Не проводя вычислений, сравните результат с нулем, а затем вычислите:
а) 5 1/2•(-1/4);
б) (-3)/7•2 1/3;
в) (-7/9)•(-8)/5;
г) (-8)/(-9)•(-3)/(-7)•(-7)/(-8);
д) (-1/2) :(-7) :(-3);
е) (-4/5)^2.
*размещая тексты в комментариях ниже, вы автоматически соглашаетесь с пользовательским соглашением