Упр.574 ГДЗ Колягин Ткачёва 10 класс (Алгебра)
Решение #1
Решение #2

Рассмотрим вариант решения задания из учебника Колягин, Ткачёва, Фёдорова 10 класс, Просвещение:
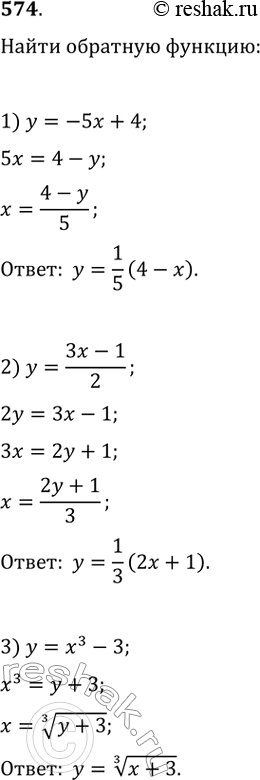
574. Найти функцию, обратную к данной:
1) у = -5х + 4;
2) у = (3x-1)/2;
3) у=х3-3.
*размещая тексты в комментариях ниже, вы автоматически соглашаетесь с пользовательским соглашением