Упр.573 ГДЗ Никольский Потапов 7 класс (Алгебра)
Решение #1

Рассмотрим вариант решения задания из учебника Никольский, Потапов 7 класс, Просвещение:
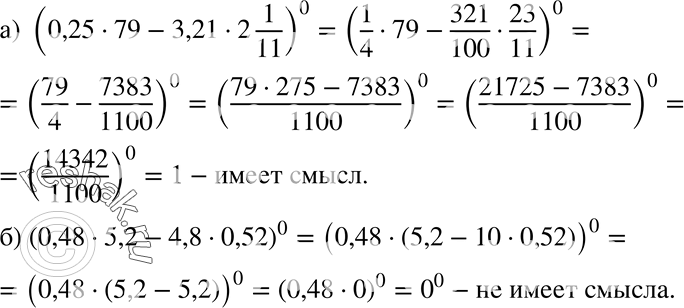
573. Определите, имеет ли смысл выражение. Если да, то вычислите его значение:
а) (0,25*79-3,21*2*1/11)0;
б) (0,48*5,2-4,8*0,52)0.
*размещая тексты в комментариях ниже, вы автоматически соглашаетесь с пользовательским соглашением