Упр.549 ГДЗ Никольский Потапов 7 класс (Алгебра)
Решение #1

Рассмотрим вариант решения задания из учебника Никольский, Потапов 7 класс, Просвещение:
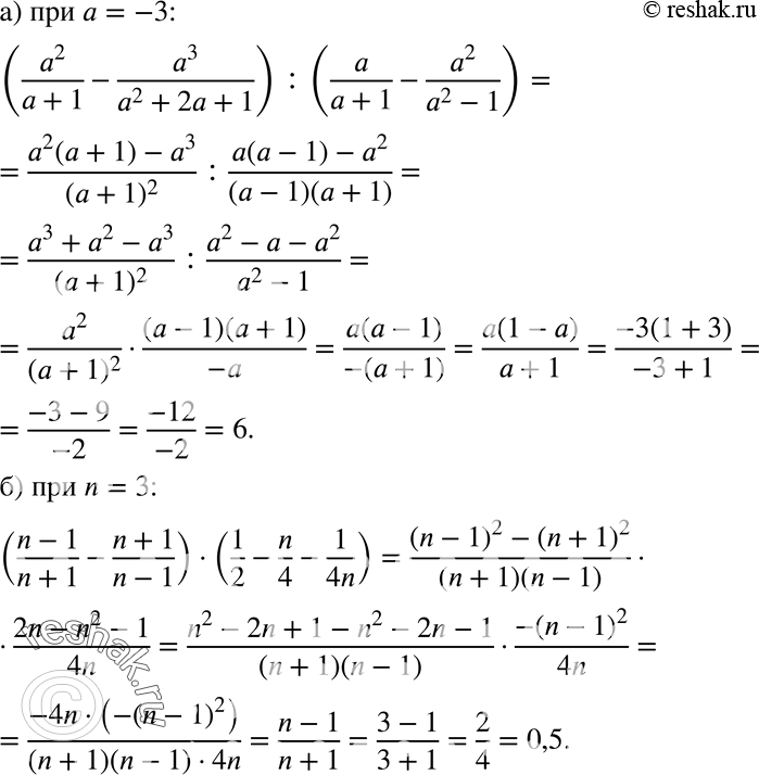
549 Упростив рациональное выражение, найдите его значение:
а) (a/(a+1)-a3/(a2+2a+1)):(a/(a+1)-a2/(a2-1)) при a=-3;
б) ((n-1)/(n+1)-(n+1)/(n-1))*(1/2-n/4-1/4n) при n=3.
*размещая тексты в комментариях ниже, вы автоматически соглашаетесь с пользовательским соглашением