Упр.507 ГДЗ Колягин Ткачёва 7 класс (Алгебра)
Решение #1

Рассмотрим вариант решения задания из учебника Колягин, Ткачёва, Фёдорова 7 класс, Просвещение:
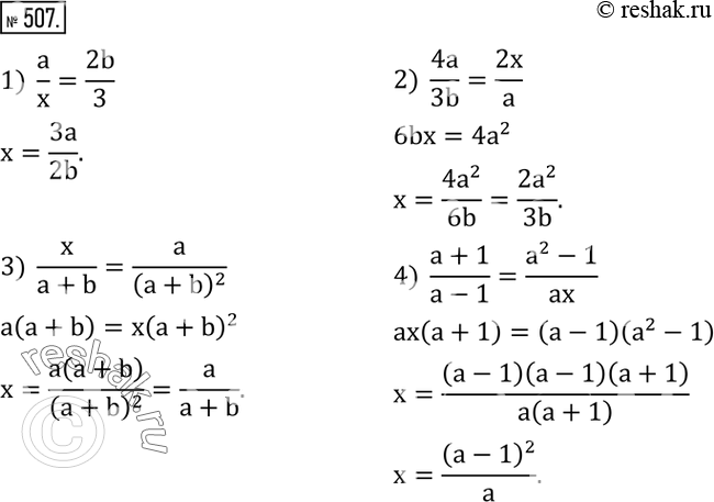
507. Найти неизвестное число x из пропорции:
1) a/x=2b/3;
2) 4a/3b=2x/a;
3) x/(a+b)=a/(a+b)^2 ;
4) (a+1)/(a-1)=(a^2-1)/ax.
*размещая тексты в комментариях ниже, вы автоматически соглашаетесь с пользовательским соглашением