Упр.502 ГДЗ Колягин Ткачёва 10 класс (Алгебра)
Решение #1
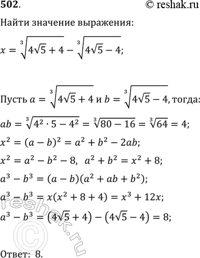
Решение #2

Рассмотрим вариант решения задания из учебника Колягин, Ткачёва, Фёдорова 10 класс, Просвещение:
502. Найти значение выражения х3 + 12х, если
x = корень 3 степени (4 корень 5 + 4) - корень 3 степени (4 корень 5 - 4).
*размещая тексты в комментариях ниже, вы автоматически соглашаетесь с пользовательским соглашением