Упр.479 ГДЗ Колягин Ткачёва 7 класс (Алгебра)
Решение #1

Рассмотрим вариант решения задания из учебника Колягин, Ткачёва, Фёдорова 7 класс, Просвещение:
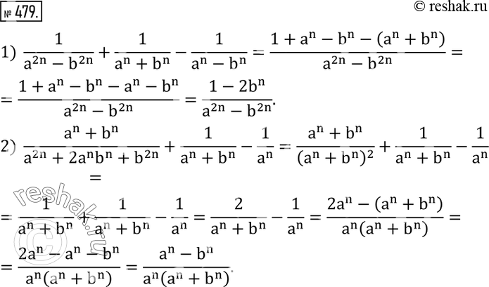
479. Упростить выражение, если n - натуральное число:
1) 1/(a^2n-b^2n )+1/(a^n+b^n )-1/(a^n-b^n );
2) (a^n+b^n)/(a^2n+2a^n b^n+b^2n )+1/(a^n+b^n )-1/a^n .
*размещая тексты в комментариях ниже, вы автоматически соглашаетесь с пользовательским соглашением