Упр.466 ГДЗ Колягин Ткачёва 7 класс (Алгебра)
Решение #1

Рассмотрим вариант решения задания из учебника Колягин, Ткачёва, Фёдорова 7 класс, Просвещение:
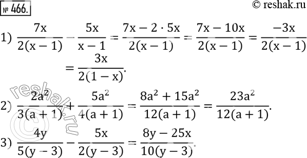
466. Выполнить действия:
1) 7x/2(x-1) -5x/(x-1);
2) (2a^2)/3(a+1) +(5a^2)/4(a+1) ;
3) 4y/(5(y-3))-5x/2(y-3) .
*размещая тексты в комментариях ниже, вы автоматически соглашаетесь с пользовательским соглашением