Упр.455 ГДЗ Колягин Ткачёва 7 класс (Алгебра)
Решение #1

Рассмотрим вариант решения задания из учебника Колягин, Ткачёва, Фёдорова 7 класс, Просвещение:
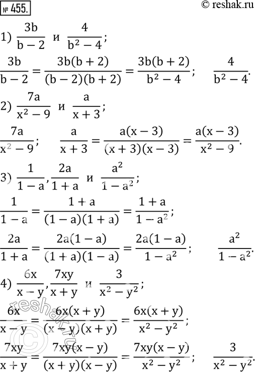
455. Привести дроби к общему знаменателю:
1) 3b/(b-2) и 4/(b^2-4);
2) 7a/(x^2-9) и a/(x+3);
3) 1/(1-a),2a/(1+a) и a^2/(1-a^2 );
4) 6x/(x-y),7xy/(x+y) и 3/(x^2-y^2 ).
*размещая тексты в комментариях ниже, вы автоматически соглашаетесь с пользовательским соглашением