Упр.442 ГДЗ Колягин Ткачёва 10 класс (Алгебра)
Решение #1
Решение #2

Рассмотрим вариант решения задания из учебника Колягин, Ткачёва, Фёдорова 10 класс, Просвещение:
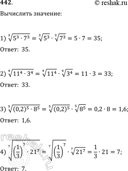
442. 1) корень 3 степени (5^3 * 7^3);
2) корень 4 степени (11^4 * 3^4);
3) корень 5 степени ((0,2)5 * 8^5);
4) корень 7 степени ((1/3)7 * 21^7).
*размещая тексты в комментариях ниже, вы автоматически соглашаетесь с пользовательским соглашением