Упр.407 ГДЗ Колягин Ткачёва 10 класс (Алгебра)
Решение #1
Решение #2

Рассмотрим вариант решения задания из учебника Колягин, Ткачёва, Фёдорова 10 класс, Просвещение:
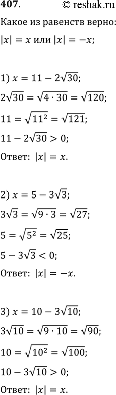
407. Выяснить, какое из равенств: |x| = х или |х| = —х — является верным, если:
1) x = 11-2 корень 30;
2) х = 5- 3 корень 3;
3) х = 10- 3 корень 10.
*размещая тексты в комментариях ниже, вы автоматически соглашаетесь с пользовательским соглашением