Упр.4.22 ГДЗ Мерзляк 11 класс Углубленный уровень (Алгебра)
Решение #1

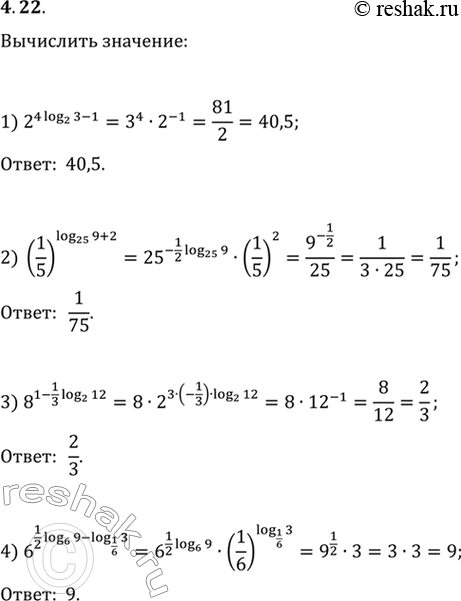
Рассмотрим вариант решения задания из учебника Мерзляк, Номировский, Поляков 11 класс, Вентана-Граф, Просвещение:
4.22. Вычислите:
1) 2^(4log_2 3-1); 5) 12^(log_144 4+log_12 5);
2) (1/5)^(log_25 9+2); 6) 1000^(1/2 lg 25-3lg 2);
3) 8^(1-1/3 log_2 12); 7) log_13 (100^(1/log_7 10)+2^(log_2 15+3));
4) 6^(1/2 log_6 9-log_(1/6) 3); 8) 5^(log_5 4·log_2 3).
*размещая тексты в комментариях ниже, вы автоматически соглашаетесь с пользовательским соглашением